Sociologija. Mintis ir veiksmas ISSN 1392-3358 eISSN 2335-8890
2020, vol. 1 (46), pp. 48–68 DOI: https://doi.org/10.15388/SocMintVei.2020.1.20

1970–1984 metais gimusiųjų kohortos kohabitacijos virsmas santuoka ir iširimas Lietuvoje

Irma Dirsytė
Vytauto Didžiojo universiteto Socialinių tyrimų centras
Social Research Center at Vytautas Mangus University
Lietuvos socialinių mokslų centro Sociologijos institutas Institute of Sociology
Lithuanian Center for Social Sciences
irma.dirsyte@vdu.lt
ORCID: https://orcid.org/0000-0001-7736-2091

Santrauka. Straipsnyje siekiama įvertinti demografinių ir socialinių veiksnių poveikį pirmai partnerystei Lietuvoje – ikisantuokinės kohabitacijos trukmei, tokių santykių tvarumui ir virsmui santuoka. Tyrimas yra grindžiamas 2019 m. „Šeimų ir nelygybių tyrimo“ duomenų rinkiniu. Analizė rodo, kad 1970–1984 m. gimusiųjų kohortoje didesnė dalis jaunų asmenų pirmą partnerystę pradeda kohabitacija, o ne santuoka, taip pat palaipsniui ilgėja vidutinis kohabitacijos laikas iki santuokos. Tačiau ilgainiui kohabitacija vis tiek perauga į santuoką – po penkerių metų nuo kohabitacijos pradžios susituokia beveik visi kohabituojantys asmenys ir tik nedidelė dalis kohabitacijų išyra. Coxo regresijos analizė rodo, kad kohabitacijos virsmui į santuoką statistiškai reikšmingą įtaką daro išsilavinimo lygmuo ir užbaigtos studijos. Kohabitacijos peraugimą į santuoką taip pat paskatina nėštumas. Tyrimo rezultatai rodo, kad, prabėgus trims dešimtmečiams nuo kohabitacijų plitimo Lietuvoje pradžios, nors kohabitacija Lietuvoje konkuruoja su santuoka, ji nepakeičia santuokos, kaip vaikų susilaukimo ir auginimo instituto, reikšmės.

Pagrindiniai žodžiai: demografinė šeimos formavimo raida, kohabitacija, santuoka, kohabitacijų tranzicijos.

Transitions from Cohabitation to Marriage or Separation among the Birth Cohort of 1970–1984 in Lithuania

Abstract. This paper aims to analyse the impact of demographic and social factors on first partnership in Lithuania – the duration of premarital cohabitation, the sustainability of such relationships, and the transition into marriage. The research is based on the 2019 Family and Inequality Survey of 1970–1984 birth cohorts. Data analysis shows that most young people began their first partnership as a cohabitation rather than marriage, and the average premarital time spent in a cohabitation increases within this cohort. Cohabitation eventually transitions into marriage, and five years after the start of cohabitation, almost all cohabitants marry, and only a small percentage of cohabitating unions dissolve. Based on Cox regression analysis, the level of education and finished studies, as well as pregnancy, are significant predictors of the transition from cohabitation to marriage. The results of the research show that three decades after the beginning of the spread of cohabitation in Lithuania, cohabitation competes with marriage, but it does not challenge the importance of marriage as an institution of childbearing and upbringing.

Keywords: demographic development of the family, cohabitation, marriage, transition of cohabitation.

Received: 13/11/2020. Accepted: 29/12/2020.

Copyright © 2020 Irma Dirsytė. Published by Vilnius University Press. This is an Open Access article distributed under the terms of the Creative Commons Attribution Licence, which permits unrestricted use, distribution, and reproduction in any medium, provided the original author and source are credited.

Įvadas

Beprecedenčiai šiuolaikinės šeimos kūrimo pokyčiai Europoje per pastaruosius tris dešimt­mečius tapo akivaizdūs ir nepaneigiami. Beveik kiekvienoje Europos šalyje sumažėjo santuokų, padaugėjo kohabitacijų (nesantuokinių partnerysčių) ir vaikų, gimusių nesusituokusiems tėvams (Sobotka and Toulemon 2008; Perelli‐Harris and Gassen 2012; Perelli-Harris and Bernardi 2015). Šis naujas šeimos kūrimo modelis, pradėjęs plisti XX a. septintame dešimtmetyje Šiaurės ir Vakarų Europoje, tradiciškai siejamas su antruoju demografiniu perėjimu (Lesthaeghe 2014), kai pakitusios vertybinės orientacijos – savirealizacija, individualizacija, sekuliarizacija bei technologinė pažanga – modernioje visuomenėje keitė nusistovėjusius šeimos instituto formavimo principus.

Nors šiuolaikinėje visuomenėje daugėja porų, kurios viename ar kitame gyvenimo etape pasirenka gyventi viename namų ūkyje nesusituokusios, visgi skirtingose šalyse šeimos kūrimo pokyčiai pasireiškė skirtingai. Kai kuriose šalyse fiksuojami aukšti kohabitacijos rodikliai ir kohabitacija traktuojama kaip normalus reiškinys, kitose šalyse nesantuokinėje partnerystėje gyvenančių asmenų skaičiai išlieka labai maži. Antra vertus, kohabitacijos plitimo tendencijos nėra homogeniškos ir skirtingose visuomenėse skirtingiems individams bendras gyvenimas kartu iki santuokos reiškia skirtingus dalykus (Hiekel 2014).

Lietuvoje kohabitacijos plitimo pradžia siejama su XX a. devintuoju dešimtmečiu (Stankūnienė 2009; Maslauskaitė 2009), kai, pasikeitus ekonominei, politinei, socialinei situacijai, ėmė reikštis socialinė ir kultūrinė modernizacija bei ryškėti iki tol vyravusių normatyvinių gyvenimo modelių alternatyvos (Kraniauskienė 2011; Daukšaitė 2019).

Detali informacija apie šeimos kūrimo kaitą Lietuvoje pirmąkart surinkta atlikus „Kartų ir lyčių tyrimą“, kurio pirmoji banga vyko 2006 m. Šio tyrimo duomenys parodė, kad, nors šeimos deinstitucionalizacija Lietuvoje prasidėjo XX a. paskutiniame dešimtmetyje, šis procesas tapo akivaizdžiai revoliucinis, kai šeimos kūrimo kelią pradėjo gimusieji nuo 1970 m. (Stankūnienė 2009). Nors iki tol vyresnėse kohortose taip pat buvo galima išskirti asmenis, kurie gyvendavo nesantuokinėje partnerystėje, vis dėlto asmenų, kurie kohabitaciją rinkosi kaip pirmą partnerystę (neįskaitant pakartotinių partnerysčių ar partnerystės atkūrimo po sutuoktinio mirties), dalis sudarydavo iki 10 proc. (Stankūnienė 2009).

Slinktis link ilgiau trunkančios kohabitacijos rodo, kad nesantuokinė partnerystė Lietuvoje ilgėjo su kiekviena jaunesne kohorta. Tačiau tai tebuvo įžanga į santuoką ir didžioji dalis asmenų per trejus metus nuo partnerystės pradžios susituokdavo (Maslauskaitė 2009). Vis dėlto „Kartų ir lyčių tyrimo“ metu jaunesnė (iki 1984 m. gimusi) kohorta dar nebuvo baigusi šeimos kūrimo kelio, todėl į klausimus apie naują šeimos kūrimo modelį (pavyzdžiui, ar santuokos vaidmuo Lietuvoje silpnėja, ar kohabitacija tampa lygiavertė santuokai kaip šeimos kūrimo modeliui, kai kohabituojant auginami vaikai) nebuvo galima išsamiai atsakyti.

Šiame straipsnyje, remiantis „Šeimų ir nelygybių tyrimo“ (2019) duomenimis, analizuojamas 1970–1984 m. gimusios kohortos kohabitacijos formavimas, jos iširimo ar virsmo santuoka procesai bei juos struktūravę demografiniai ir socialiniai veiksniai. Analizuojamame duomenų rinkinyje kohorta, kurioje kohabitacijos trukmė iki santuokos ilgėjo labiausiai, jau baigusi aktyviausią šeimos kūrimo etapą, todėl galima išsamiai atsakyti į jau iškeltus klausimus apie 1970–1984 m. gimusios kohortos kohabitacijos formavimo kelią Lietuvoje.

Mokslininkai siūlo nesantuokinės partnerystės dinamiką visuomenėje įvertinti atsižvelgiant į kelis rodiklius: didėjantį kohabitacijos paplitimą visuomenėje, kohabitacijos ilgalaikiškumą ir vaikų susilaukimo įtaką kohabitacijų virsmui santuoka (Sobotka and Toulemon 2008). Kohabitacijos reikšmę, jos kaitą bei vietą šeimos kūrimo procese leidžia įvertinti kohabitacijos tranzicijos, t. y. nesantuokinės partnerystės virsmo santuokomis ar iširimo analizė. Ankstyvas kohabitacijos virsmas santuoka, kai nesantuokinė partnerystė trunka trumpai ir kartu gyvenantieji greitai susituokia, rodo, kad santuoka, kaip partnerystės tipas, dominuoja visuomenėje. Kohabitacija šiuo atveju tėra įžanga į santuoką ir romantiškas gyvenimas viename namų ūkyje pasirenkamas dėl situacinių veiksnių įtakos. Ir priešingai, ilgiau iki santuokos trunkančios kohabitacijos rodo, kad šis partnerystės tipas ima konkuruoti su santuoka (Maslauskaitė 2009).

Todėl šiame straipsnyje plačiau analizuojami trys pagrindiniai kohabitacijos raidos analizės vektoriai Lietuvoje: 1) kohabitacijos ir santuokos santykis; 2) kaip greitai kohabitacija perauga į santuoką ar išyra bei 3) ar vaikų susilaukimas paskatina kohabitacijos virsmą į santuoką.

Pirmame skyriuje bus apžvelgtos kohabitacijos raidos tendencijos Europoje bei tarptautiniai tyrimai. Antrame pristatomi šiame tekste naudojami tyrimo duomenys ir pagrindžiami duomenų analizės metodai. Trečiame skyriuje analizuojamos kohabitacijos ir santuokos plitimo tendencijos Lietuvoje. Ketvirtas ir penktas skyriai atitinkamai analizuoja kohabitacijų virsmą į santuoką bei nesantuokinės partnerystės trukmę ir tokių santykių tvarumą. Šeštame skyriuje pateikiamas bendras paveikslas apie asmenų, kurie šeimos ir partnerystės formavimo kelią pradėjo 1990–2010 m., nesantuokinių partnerysčių virsmą santuoka Lietuvoje.

Kohabitacijos raidos tendencijos

Nesantuokinės partnerystės plitimas dažnai laikomas pagrindiniu atributu, kuris keičia nusistovėjusius šeimos kūrimo principus bei tendencijas, o jos reikšmė kuriant šeimą tik didėja (Gassen and Perelli-Harris 2015). Šeimos kūrimo modelio bei matrimonialinės elgsenos kaita gali būti suvokiama kaip trijų veiksnių – gyvenimo raidos stadijos, reikšmės, kurią skirtingi individai jai suteikia, ir geopolitinio ekonominio konteksto – tarpusavio sąveika (Perelli-Harris and Bernardi 2015). Šie trys veiksniai lemia, kuriuo gyvenimo kelio laikotarpiu ji praktikuojama, kiek trunka kohabitacinė partnerystė ir šios partnerystės stabilumas.

Nors kohabitacijos plitimas yra dinamiškas procesas, o skirtingose šalyse nuolat kito ir vis dar kinta su kohabitacija siejamos socialinės reikšmės, kohabitacijos ir santuokos santykis, paplitimas skirtingose socialinėse ir demografinėse grupėse, galima išskirti keletą bandymų susisteminti empirinius faktus apie kohabitaciją ir pateikti teorinį jos raidos modelį (Rindfuss and VandenHeuvel 1990; Prinz 1995; Sobotka and Toulemon 2008).

Ronaldas Rindfussas ir Audrey VandenHeuvel dar prieš tris dešimtmečius pabandė paaiškinti kintantį kohabitacijos vaidmenį modernioje visuomenėje. Atsižvelgdami į kohabitacijos ir santuokos santykį visuomenėje, motyvus ir priežastis gyventi bendrame namų ūkyje iki santuokos ir kaip nesantuokinį gyvenimą kartu traktuoja jį praktikuojančios poros ir visuomenė, jie išskyrė dvi raidos stadijas: 1) kohabitacija kaip bandomoji santuoka arba preliudija į santuoką ir 2) kohabitacija kaip alternatyva santuokai arba viengungystei (Rindfuss and VandenHeuvel 1990). Pirmojoje raidos stadijoje bendras gyvenimas viename namų ūkyje praktikuojamas kaip asistavimo ar susitikinėjimo proceso dalis ir poros dėl tam tikrų aplinkybių pasirenka kohabitaciją kaip patogų gyvenimą kartu neįsipareigojant. Partneriai kartu gyvena norėdami pasitikrinti, ar dera bendram gyvenimui po vienu stogu santuokoje. Šiuo atveju kohabitacija gali būti pasirenkama ir dėl ekonominių aplinkybių, kai ekonominiai ištekliai, sudėti kartu, padeda apsisaugoti nuo nepritekliaus, patiriamo gyvenant vienam. Šiame raidos etape visuomenė kohabitaciją laiko tik įžanga į santuoką. Ji normatyviai pateisinama tik tam tikrame gyvenimo kelio etape (pavyzdžiui, kai studijuojama universitete) ir tikimasi, kad ilgainiui kohabitacija peraugs į santuoką.

Antrojoje raidos stadijoje kohabitacija praktikuojama kaip alternatyva santuokai arba viengungystei. Šiame raidos etape nėra ryškios takoskyros tarp santuokos instituto ir kohabitacijos. Kohabituojantys asmenys ir pati visuomenė tokius santykius traktuoja kaip santuokos pakaitalą. Šiuo atveju partneriai pasirenka nesantuokinę partnerystę, tačiau gyvenimui kartu visuomenė ir patys kohabituojantys asmenys kohabitacijai priskiria tokias pat teises ir pareigas kaip ir santuokos institutui.

Tomášas Sobotka ir Laurent’as Toulemonas (2008) išskiria tris kohabitacijos plitimo etapus. Pirmasis yra kohabitacijos plitimo etapas, kai toks santykių tipas vis labiau plinta įvairiose visuomenės grupėse ir vis daugiau asmenų iš įvairių socialinių, demografinių ir ekonominių grupių renkasi jį kaip partnerystės formą. Antrasis raidos etapas prasideda tada, kai kohabitacijos trukmė reikšmingai didėja, o pačios kohabitacijos vis rečiau perauga į santuoką. Trečiam raidos etapui būdinga tai, kad kohabitacija vis dažniau tapatinama su normaliais šeiminiais santykiais ir nėštumas vis rečiau laikomas svaria priežastimi įteisinti gyvenimą kartu santuoka.

Kiekviena visuomenė gali būti pasiekusi skirtingą kohabitacijos raidos etapą ir skirtingose šalyse pati raidos dinamika reikšmingai skiriasi. Pavyzdžiui, Švedija yra perėjusi visas kohabitacijos raidos stadijas ir kohabitacija kaip partnerystės forma šioje šalyje yra tolygi santuokos institutui, t. y. kohabitacija šioje šalyje yra tapusi santuokos alternatyva (Gassen and Perelli-Harris 2015). Pietryčių Europos šalyse kohabitacijos raidos tendencijos yra kitokios negu Šiaurės ir Vakarų Europos regione, nes naujos demografinės šeimos kūrimo tendencijos, kurios pasireiškia kohabitacijos plitimu, nestabilia partneryste ir vėliau pradedamomis santuokomis, išryškėjo vėliau (Hiekel 2014). Šiose šalyse kohabitacija yra pasiekusi pirmąją raidos stadiją ir santuoka vis dar siejama su vaikų susilaukimu. Nesantuokinis gyvenimas kartu labiau paplitęs kaip preliudija į santuoką, o ne kaip alternatyva jai (ten pat). Pietų Europos šalyse kohabitacija taip pat tebėra pradiniuose savo raidos etapuose. Čia ji trunka neilgai, rečiau išyra ir dažniau perauga į santuoką po trumpo laiko (Kiernan 2001; Hiekel 2014).

Lietuvoje atlikti kohabitacijos tyrimai (Maslauskaitė 2009; Stankūnienė 2009), kuriuose buvo analizuojama 1939–1970 m. gimimo kohortos šeimos kūrimo elgsena, leido daryti išvadą, kad nesantuokinės partnerystės plitimas vėlyvuoju sovietmečiu ir pirmais nepriklausomos Lietuvos metais buvo pasiekęs pirmąją stadiją. Tuo metu kohabitavo tik nedidelė dalis asmenų, o nesantuokinė partnerystė greitai peraugdavo į santuoką ir labai nedidelė dalis vaikų gimdavo ne santuokoje (Stankūnienė et al. 2003; Maslauskaitė 2009).

Tyrėjai taip pat nagrinėja, kokios aplinkybės skatina individus rinktis kohabitaciją, ir taip ieško atsakymo į klausimą, kaip socialiniai, ekonominiai visuomeninio gyvenimo veiksniai skatina vienokį ar kitokį matrimonialinį elgesį. Teigiama, kad kohabitacijos iširimo rizika yra susijusi su selektyvumu, kai gyventi kartu nesantuokoje renkasi mažesniais socialiniais ir ekonominiais ištekliais disponuojantys individai (Carlson et al. 2004; McLanahan 2004). Demografiniuose tyrimuose dažnai keliama hipotezė, kad tokie kohabituojantys asmenys susiduria su didesne partnerystės iširimo, vienišos motinystės ir skurdo rizika (Perelli-Haris 2014; McLanahan 2004; Cherlin 2005). Tačiau šis kohabitacijos ir selektyvumo sąryšis silpnėja kohabitacijai pasiekus paskutines raidos stadijas ir plintant visuomenėje (Lu et al. 2012). Selektyvumo tyrimai leidžia nustatyti konkrečias grupes, kurios pirmosios pasirenka kohabitaciją kaip partnerystės formą ir iš kurių tokią partnerystės formą perima kitos visuomenės grupės. Visgi šių tyrimų rezultatai dėl kohabitacijos dinamikos dažnai prieštaringi, o skirtingose šalyse neretai skiriasi ir gyventojų grupės, kurios pirmosios ima simpatizuoti nesantuokinei partnerystei. Dažnai daroma prielaida, kad kohabitacija gali būti susijusi su individo išsilavinimu (Bumpass and Lu 2000). Pavyzdžiui, įgytas išsilavinimas gali paveikti individo apsisprendimą kohabituoti dėl kelių priežasčių. Visų pirma, išsilavinimas susijęs su individo socialiniu mobilumu, geresnėmis karjeros perspektyvomis ir ekonominiu savarankiškumu. Kita vertus, pirminiuose kohabitacijos raidos etapuose nesantuokinė partnerystė, kaip nukrypstantis nuo normos elgesys, kai kuriose šalyse visų pirma ėmė plisti išsilavinusiose visuomenės grupėse (McLanahan 2004).

Kohabitacijos kaip partnerystės formos plitimą ir ilgėjantį laiką, praleistą nesantuokinėje partnerystėje, galima aiškinti ir ekonomine partnerių paieškos teorija (angl. economic search theory) (Surra and Boelter 2013). Ekonominė partnerių paieškos teorija siekia paaiškinti tendencijas, kodėl santuokos yra atidedamos vėlesniam individo gyvenimo etapui. Ji teigia, kad partnerystės formavimas ir šeimos kūrimas yra daugialypis procesas. Jis labai priklauso nuo bandymų įvertinti partnerio ekonomines ir karjeros perspektyvas. Tiek vyrai, tiek moterys siekia įvertinti partnerio karjeros stabilumą ir pajamas, kurios užtikrintų namų ūkio stabilumą ir savarankiškumą. Tačiau sėkmingos ir stabilios karjeros užsitikrinimas modernioje visuomenėje užtrunka vis ilgiau dėl aukštesnio išsilavinimo svarbos bei pakitusios liberalios darbo rinkos (pavyzdžiui, plintančių trumpalaikių darbo sutarčių) (Surra and Boelter 2013). Santuoka ar tėvystė atidedamos iki tol, kol sumažėja nežinomybė ir netikrumas dėl partnerio ekonominės pozicijos ateityje (Oppenheimer 1994; Mills et al. 2005).

Šiuolaikinėje visuomenėje dėl globalių ekonominių pokyčių jauniems žmonėms vis sunkiau įsitvirtinti darbo rinkoje, pasiekti ekonominį stabilumą ir jaustis saugiems dėl ateities (Mills et al. 2005). Šeimos kūrimas yra ilgalaikis įsipareigojimas, reikalaujantis ekonominių išteklių ir tam tikro ekonominio stabilumo, todėl partnerio pasirinkimui ir šeimos kūrimo elgesiui netiesioginį poveikį turi ir tokie ekonominiai veiksniai kaip globalus ekonominis klimatas, darbo rinkos liberalizavimas, privatizavimas, išsilavinimo sistemos ypatumai bei ekonominis ateities stabilumas. Vadinasi, karjeros pradžia ir baigtos studijos gali lemti, kad kohabitacija perauga į santuoką tik pasiekus užsibrėžtą ekonominę gerovę.

Tačiau kohabitacijos trukmei, jos perėjimui į santuoką įtaką gali daryti ne tik ekonominis stabilumas, bet ir vaikų susilaukimas (Sobotka and Toulemon 2008). Nėštumas gali paskatinti partnerius susituokti tada, kai bendras romantiškas gyvenimas viename namų ūkyje yra traktuojamas kaip įžanga į santuoką ir prieš pradedant gyventi kartu buvo planuojama kada nors įteisinti santykius. Kita vertus, žvelgiant iš platesnio požiūrio taško, jei nėštumas nelaikomas svarbia priežastimi susituokti, galima būtų teigti, kad visuomenėje kohabitacija yra pasiekusi paskutinę savo raidos stadiją ir tapusi santuokos pakaitalu.

Šeimos, kurioje augo individas, struktūra taip pat gali lemti pasirinkimą gyventi nesantuokinėje partnerystėje. Tarptautinių tyrimų rezultatai rodo, kad individo augimas nepilnoje šeimoje gali turėti įtakos tokio partnerystės tipo pasirinkimams ir gebėjimui įsipareigoti (Thornton 1991). Panašiai ir religiniai įsitikinimai gali paveikti kohabitacijos dinamiką. Religija yra tapatinama su tradicinėmis bei kolektyvistinėmis vertybėmis, kurios iš principo prieštarauja nesantuokinei partnerystei. Todėl religingi asmenys rečiau gyvena kohabitacijoje iki santuokos (Impicciatore and Billari 2012).

Kaip aptarta, globalizacija, modernizacija bei sekuliarizacija susijusios su individų gyvenimo kelio destandartizacija moderniose Vakarų visuomenėse. Šį procesą atskleidžia kohabitacijų plitimas ir šeimos kūrimo modelio pliuralizacija. Lietuvoje tik 1990–2000 m., pasikeitus politinei, ekonominei ir socialinei situacijai – perėjus į rinkos ekonomiką ir įsigalėjus demokratinei santvarkai – ėmė plisti kultūrinė ir socialinė modernizacija, pasireiškusi individualistinių, liberalių vertybių plitimu. Tuo metu Lietuvoje taip pat ėmė reikštis socialinės brandos įvykių destandartizacija, kai vieni asmenys atsiskyrimą nuo tėvų pradėjo nuo šeimos kūrimo, o kiti – siekdami išsilavinimo ar pradėdami dirbti (Kraniauskienė 2011). Todėl natūraliai kyla klausimas, ar karta, 1990–2010 m. pradėjusi šeimos kūrimo kelią kintančios visuomenės sąlygomis, kohabitaciją traktuoja kaip santuokos preliudiją ir po trumpo gyvenimo kartu susituokia, ar vis dėlto nesantuokinė partnerystė dažniau asocijuojama su santuokos pakaitalu? Ar Lietuvoje, kaip būdinga pirmąsias raidos fazes pasiekusioms šalims, kohabitacijų virsmas santuokomis priklauso nuo asmens lyties, išsilavinimo ir kitų individualių charakteristikų? O galbūt gimusieji 1970–1984 m. renkasi panašų šeiminio gyvenimo šabloną, o selektyvumo hipotezė yra atmestina?

Kaip užsiminta, į visus šiuos klausimus Lietuvoje jau buvo bandyta atsakyti Vlados Stankūnienės (2009) ir Aušros Maslauskaitės (2009) darbuose. Tačiau galutinio vaizdo apie tų, kurie gimė 1970–1984 m., o dabar yra įžengę į savo ketvirtąjį ar penktąjį gyvenimo dešimtmetį, šeimos ir partnerystės kūrimo kelią nebuvo galima sudaryti dėl paprastos priežasties. 2006 m. darytuose tyrimuose šios kohortos buvo per jaunos, o naujas šeimos transformacijos modelis jas dar mažai buvo palietęs. Be to, tuo metu šios kohortos nebuvo baigusios aktyviausios šeimos kūrimo fazės, tad apie naujas šeimos kūrimo tendencijas buvo galima svarstyti labai atsargiai, su išlygomis.

Duomenys ir metodai

Kohabitacijos, jos trukmės ir virsmo santuoka analizė grindžiama reprezentatyvaus atrankinio „Šeimų ir nelygybių tyrimo“ (2019 m.) duomenimis. Tyrimo imtis – Lietuvos gyventojai, gimę 1970– 1984 m. Apklausti 3 005 asmenys, iš kurių 1 780 moterų ir 1 225 vyrai. Duomenys surinkti anketinės apklausos metodu. Duomenis surinko UAB „Baltijos tyrimai“. „Šeimos ir nelygybių tyrimas“ aktualus tuo, kad apklausos metu rinkta retrospektyvi kalendorinė informacija (mėnesių tikslumu) apie kiekvieno respondento partnerystės sukūrimo datą, partnerystės tipą, partnerystės iširimą, taip pat respondento socialinę, kultūrinę aplinką. Tokie duomenys leidžia identifikuoti šeimos kūrimo pokyčius Lietuvoje ir pažvelgti į šių pokyčių socialinį-kultūrinį kontekstą.

Duomenų analizei taikyti parametriniai ir pusiau parametriniai įvykių istorijos analizės modeliavimo metodai. Duomenų vizualizacijai ir interpretacijai naudojama statistinė programinė įranga R.

Analitinę tyrimo imtį sudarė informacija apie 2 674 asmenis (1 lentelė). Analizuojama tik pirmoji partnerystė (neįskaitant pakartotinių partnerysčių ar pakartotinių santuokų), kurią sudarė 89,3 proc. apklaustųjų (88,7 proc. vyrų ir 89,8 proc. moterų). Likusi dalis asmenų apklausos metu nurodė, kad neturėjo jokios partnerystės patirties.

1 lentelė. Tyrimo dalyvių socialinės ir demografinės charakteristikos

Kintamasis

Kategorija

Proc. dalis bendroje imtyje

Proc. dalis tarp tų, kurie sudarė pirmą partnerystę kaip kohabitaciją

Proc. dalis tarp tų, kurie sudarė pirmą partnerystę kaip santuoką

 

Iš viso

3 005
(100 proc.)

1 433
(100 proc.)

1 251
(100 proc.)

Lytis

Vyras

40,8

41,5

39,3

Moteris

59,2

58,5

60,7

Kohorta

 

1970–1974

33

30,8

37,4

1975–1979

26,7

26,8

28,0

1980–1984

40,3

42,4

34,6

Išsilavinimo lygis 

Žemiausias

18,3

17,8

17,3

Vidutinis

23,7

21,6

24,9

Aukščiausias

58

60,6

57,8

Gyvenamoji vieta

Didmiestis

34,8

39,4

31,6

Kiti miestai

32,6

31,9

31,6

Kaimas

32,6

28,7

36,8

Religingumas

Tikintis

79,9

84,9

82,3

Netikintis

20,1

15,1

17,7

Tėvų skyrybos

Ne

81,1

83,1

82,3

Taip

18,9

16,9

17,7

Šaltinis: Šeimų ir nelygybių tyrimas, 2019.

Įvykių istorijos analizės imtį sudaro 1 433 asmenys (594 vyrai ir 839 moterys), kurie pirmą partnerystę pradėjo kaip kohabitaciją (2 lentelė). Kad būtų galima taikyti įvykių istorijos (angl. event history) statistinės analizės metodus, duomenų masyvas pertvarkytas taip, kad kiekvienam individui suformuota įvykių kalendorinė seka. Šioje sekoje pamėnesiui fiksuoti keturi įvykiai (statusai): 1) kohabitacija, 2) santuoka, 3) vaiko susilaukimas, 4) kohabitacijos iširimas. Buvo nustatytos kohabitacijos pradžios ir pabaigos datos bei trukmė mėnesiais. Šios duomenų struktūros pertvarkymo esmė – kiekvieną partnerystę aprašyti atskira eilute, kurioje fiksuoti su partnerystės sudarymu, perėjimu į santuoką ar iširimą susiję kintamieji. Nuo laiko nepriklausomi kintamieji, kaip antai lytis, kohorta ir kitos individualios charakteristikos, kartojasi kiekvienoje vieną respondentą apibūdinančioje eilutėje.

2 lentelė. Kohabitacijos virsmas santuoka ir santykių nutraukimas skirtingose socialinėse grupėse

Kintamasis

Kategorija

Kohabitacijos, kurios virto santuoka (proc.)

Kohabitacijos, kurios iširo (proc.)

Iš viso

1 069
(100 proc.)

364
(100 proc.)

Lytis

Vyras

38,9

48,8

Moteris

61,1

51,2

Kohorta 

1970–1974

34,4

20,6

1975–1979

26,9

26,9

1980–1984

38,7

52,5

Išsilavinimo lygis

Žemiausias

15,1

26,4

Vidutinis

20,8

24,5

Aukščiausias

64,1

49,1

Gyvenamoji vieta 

Didmiestis

41,1

33,8

Kiti miestai

26,7

31,1

Kaimas

32,2

35,1

Religingumas 

Tikintis

88,8

72,3

Netikintis

11,2

27,7

Tėvų skyrybos

Ne

84,7

74,9

Taip

15,3

25,1

Išsilavinimas iki santuokos

Įgijo išsilavinimą iki santuokos

81,8

 

Neįgijo išsilavinimo iki santuokos

18,2

 

Įgijo darbinės patirties iki santuokos

Įgijo darbinės patirties iki santuokos

82,3

 

Neįgijo darbinės patirties iki santuokos

17,7

 

Šaltinis: Šeimų ir nelygybių tyrimas, 2019.

Kaplano ir Meierio neparametrinė išlikimo funkcija ir konkuruojančių rizikų metodas pasitelkti įvykių istorijai pagal kohabitacijos (kai kohabitacija sutampa su pirmos partnerystės data) perėjimą į santuoką ar iširimą. Analizuota ne tik kokia dalis nesantuokinių partnerysčių perauga į santuoką arba išyra, bet ir laikotarpis (mėnesių tikslumu), per kurį tai įvyksta arba neįvyksta. Metodologiškai proceso pradžios tašku laikoma kohabitacijos pradžia, o pabaigos tašku laikomas santuokos įregistravimas arba kohabitacijos iširimas.

Kohabitacija nebūtinai perauga į santuoką ar išyra, todėl naudojama vadinamoji duomenų cenzūravimo iš dešinės (angl. right censoring) procedūra, kai vis dar tebesitęsiančios partnerystės stebėjimo pabaigos tašku laikomas ne interviu momentas, bet penkerių metų (60 mėnesių) stebėjimo laikotarpis nuo partnerystės pradžios. Remiamasi prielaida, kad partnerystė stabilizuojasi per trejus metus nuo pradžios ir šio laikotarpio pabaigoje dažniausiai arba perauga į santuoką, arba išyra (Di Giulio et al. 2019). Tačiau, atsižvelgiant į tai, kad kohabitacijos raidos tendencijos kinta ir apskritai visuomenėje didėja kohabitacijos rodikliai, pasirinktas ilgesnis nei įprastai (penkerių metų) stebėjimo laikotarpis.

Siekiant įvertinti veiksnius, kurie gali lemti, kaip greitai nesantuokinė partnerystė perauga į santuoką, naudojamas Coxo proporcingos regresijos rizikos modelis (Fox 2002). Šis modelis leidžia įvertinti ne tik nesantuokinės partnerystės trukmę, bet ir individualias kohabituojančiųjų charakteristikas, lemiančias santuokos sudarymo tikimybę. Regresijos modelio priklausomasis kintamasis yra perėjimas iš kohabitacijos į santuoką ir analizuojama tikimybė, ar kohabitacija peraugs į santuoką, ar tęsis. Regresijos modeliui pasitelkti šie nepriklausomieji kintamieji: lytis, religinės pažiūros (tikintis arba ne), gyvenamoji vieta interviu metu (daroma prielaida, kad gyvenamoji vieta nekito), tėvų skyrybos. Taip pat du kintamieji, rodantys išsilavinimą: 1) aukščiausias įgyto išsilavinimo lygis interviu metu, kuris skiriamas į tris lygius pagal 2011 m. ISCED klasifikatorių1: aukščiausio išsilavinimo lygmenį (ISCED 6-8), vidutinio išsilavinimo lygmenį (ISCED 3-4) ir žemiausio išsilavinimo lygmenį (ISCED 0-2); 2) išsimokslinimo statusas iki santuokos (tuo atveju, jei nesantuokinė partnerystė virto santuoka), kuris apibrėžiamas kaip dvinaris kintamasis – baigė studijas iki santuokos ar nebaigė.

Atsižvelgiant į užsienio šalių tyrimų rezultatus, kurie jau buvo aptarti anksčiau, regresinei analizei taip pat naudoti papildomi kintamieji: amžius sudarant pirmą partnerystę, nėštumas ir darbinė patirtis iki santuokos, jei kohabitacija peraugo į santuoką. Amžius pirmosios partnerystės metu – kiekybinis kintamasis, apskaičiuotas remiantis partnerystės pradžia (mėnesių tikslumu) ir gimimo data (mėnesių tikslumu). Nėštumas iki partnerystės virsmo į santuoką – dvinaris kintamasis, gautas atsižvelgus į pirmo vaiko gimimo datą ir pridedant septynis mėnesius bei įvertinant partnerystės statusą (kohabitaciją ir jos virsmą į santuoką). Darbinės patirties įgijimas iki santuokos – dvinaris kintamasis (turėjo darbinės patirties iki nesantuokinės partnerystės virsmo į santuoką ar neturėjo) apskaičiuojamas pagal partnerystės virsmo į santuoką (jei šis virsmas įvyko) kalendorinę datą (mėnesių tikslumu) ir pirmojo darbo susiradimo kalendorinę datą (mėnesių tikslumu).

Šeimos formavimo kalendorius Lietuvoje

Pirmą partnerystę kaip santuoką ar kohabitaciją sudariusių asmenų, gimusių 1970–1984 m., analizė pagal amžiaus grupes rodo, kad tiek vyrai, tiek moterys pirmą partnerystę kaip kohabitaciją rinkosi dažniau nei tie, kurie iškart tuokdavosi ir iki santuokos negyveno kartu (1 pav.). Kohabitaciją kaip pirmą partnerystę (iki 35 metų) rinkosi 57 proc. vyrų ir 55 proc. moterų, o santuoką rinkosi 24 proc. vyrų ir 31 proc. moterų. Likusi dalis asmenų (19 proc. vyrų ir 14 proc. moterų) liko vieniši.

64165.png 

1 pav. Vyrų ir moterų pirmosios partnerystė formos. Kumuliaciniai procentai
Šaltinis: Šeimų ir nelygybių tyrimas, 2019.

Analizuojant kohabitacijos bei negyvenusiųjų kartu iki santuokos sudarymo tendencijas atskirai pagal amžiaus grupes (1 pav.) matyti panašios tendencijos tiek santuokos, tiek nesantuokinės partnerystės atveju. Besituokiančiųjų ir kohabituojančiųjų dalis didėjo iki 25–27 metų, o vėliau didėjo labai nedaug.

Pirmos partnerystės tipas pagal kohortas

Skirtingų kohortų partnerystės formavimas ir vidutinis amžius partnerystės formavimo metu yra vienas pagrindinių indikatorių, rodančių kohabitacijos ir santuokos kaitos dinamiką laike. Žvelgiant į 1970–1974 m., 1975–1979 m. ir 1980–1984 m. kohortų pirmosios partnerystės formavimo modelį, galima teigti, kad tiek vidutinis amžius formuojant pirmą partnerystę, tiek kohabitacijos lygis didėjo su kiekviena jaunesne kohorta (2 pav.). O santuokos lygis su kiekviena jaunesne kohorta mažėjo (3 pav.).

64157.png 

2 pav. Vyrų ir moterų pirmosios partnerystės kaip kohabitacijos kumuliaciniai procentai
Šaltinis: Šeimų ir nelygybių tyrimas, 2019.

64152.png 64138.png 

3 pav. Vyrų ir moterų pirmosios partnerystės kaip santuokos kumuliaciniai procentai
Šaltinis: Šeimų ir nelygybių tyrimas, 2019.

Pirmosios partnerystės kaip kohabitacijos dalis 1980–1984 m. kohortoje sudaro net 62 proc. vyrų ir moterų, 1975–1979 m. kohortoje pirmą partnerystę kaip kohabitaciją pradėjo apie 53 proc. moterų ir 51 proc. vyrų, o 1970–1974 m. kohortoje pirmą partnerystę nuo kohabitacijos pradėjo maždaug 55 proc. moterų ir 51 proc. vyrų (2 pav.). Kumuliaciniai procentai pagal kartas atskleidžia šeimos deinstitucionalizacijos proceso trajektoriją ir galima išskirti du elgsenos modelius, diferencijuojančius du socialinius-demografinius darinius – gimusiuosius iki 1980 m. ir vėliau. Asmenys, kurie gimė po 1980 m., pirmuosius partnerystės santykius pradėjo nuo kohabitacijos dažniau nei tie, kurie gimė iki 1980 m.

Kita vertus, analizuojant pirmos partnerystės trajektorijas pagal amžių matyti, kad skiriasi pirmosios partnerystės kūrimo kalendorius. Kohabitacija santykius pradėję asmenys buvo jaunesni (2 pav.) nei tie, kurie pirmąją partnerystę iškart įteisindavo santuoka (3 pav.). Taip pat, jei pirmosios partnerystės (tiek kohabitacijos, tiek santuokos) sudarymo kumuliacinių procentų grafikus (1970–1984 m. kohortos) sugretintume su ankstesnių tyrimų rezultatais (1960–1979 m. kohortos) (Stankūnienė 2009), matytume, kad pirmosios partnerystės sudarymo amžius „senėja“. 1970–1984 m. gimusios kohortos bendras vidutinis amžius sudarant pirmą partnerystę buvo 25 metai (moterų 24), o 1960–1969 m. gimusios kohortos moterų vidutinis amžius tuokiantis buvo 22 metai.

64751.png 

4 pav. Laikas kohabitacijoje iki santuokos, mėnesiais
Šaltinis: Šeimų ir nelygybių tyrimas, 2019.

Jaunesnėje kartoje daugėjo kohabituojančių asmenų ir mažėjo asmenų, kurie šeimos kūrimą pradėjo nuo santuokos, ir ši tendencija būdinga tiek vyrams, tiek moterims. Vadinasi, Lietuvoje šeimos deinstitucionalizacijos procesas, prasidėjęs nuo XX a. paskutinio dešimtmečio (Stankūnienė 2009; Maslauskaitė 2009), spartėjo, o su kiekviena jaunesne kohorta mažėjo dalis asmenų, kurie partnerystės formavimo kelią pradėjo santuoka.

Kohabitacijos virsmas santuoka

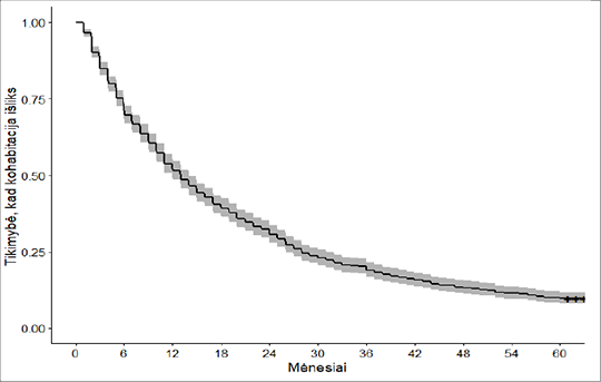
Pirmosios partnerystės kūrimo tendencijos ir kohabitacijos perėjimo į santuoką trukmė ar jos iširimas leidžia identifikuoti kohabitacijos vietą šeimos kūrimo procese. Tai rodo, ar nesantuokinė partnerystė yra santuokos preliudija, ar santuokos alternatyva. Mūsų analizės duomenys leidžia įvertinti, kokia buvo tikimybė, kad skirtingo gimimo laiko kohortose kohabitacija peraugs į santuoką.

Kaplano ir Meierio išlikimo kreivė (4 pav.) rodo, kad 50 proc. pirmųjų partnerysčių, prasidėjusių kaip kohabitacija, virto santuokomis per šiek tiek daugiau nei metus (mediana lygi 13 mėnesių) nuo kohabitacijos pradžios. Po 2,5 metų (30 mėnesių) išliko tik 25 proc. kohabitacijų (p < 0,05).

 

64129.png 

5 pav. Laikas kohabitacijoje iki santuokos, mėnesiais
Šaltinis: Šeimų ir nelygybių tyrimas, 2019.

Žvelgiant į skirtingų kohortų šeimos kūrimo elgesį, Kaplano ir Meierio kreivė rodo, kad yra statistiškai reikšmingų skirtumų tarp skirtingais metais gimusių kohortų (5 pav.). Vyresnėje, 1970–1974 m. gimimo kohortoje, daugiau nei pusė partnerysčių peraugo į santuoką per mažiau nei metus ir medianinis kohabitacijos perėjimo į santuoką laikas buvo 9 mėnesiai. Jaunesnėje, 1975–1979 m. gimusioje kohortoje, medianinis santuokos išlikimo laikas pailgėjo beveik 5 mėnesiais, o jauniausioje, 1980–1984 m. kohortoje, net pusė kohabituojančių asmenų tęsė tokią partnerystę iki 1,5 metų.

64758.png 

6 pav. Laikas kohabitacijoje iki santuokos, mėnesiais
Šaltinis: Šeimų ir nelygybių tyrimas, 2019.

Nustatyta, kad yra ir statistiškai reikšmingas skirtumas tarp pasiekto išsilavinimo lygmens ir kohabitacijos virsmo į santuoką (6 pav.). Trumpiausiai nesantuokinėje partnerystėje iki santuokos gyveno turintieji žemiausią išsilavinimą (ISCED 0-2). 50 proc. kohabituojančių iš žemiausio išsilavinimo grupių gyveno kartu bendrame namų ūkyje iki santuokos beveik 6 mėnesius, o tokia pat dalis iš vidutinio ir aukščiausio išsilavinimo grupių iki santuokos kartu gyveno atitinkamai 13 ir 15 mėnesių. Tikimybė, kad šių žemiausią išsilavinimą įgijusių asmenų kohabitacija peraugs į santuoką per dvejus metus (24 mėnesius) nuo kohabitacijos pradžios lygi 25 proc. O tarp turinčiųjų aukščiausią ir vidutinį išsilavinimą 25 proc. tikimybė, kad kohabitacija peraugs į santuoką, išlieka 36 mėnesius nuo kohabitacijos pradžios. Iš visų išgyvenusių kohabitacijos virsmą santuoka matome, kad išlikimo funkcijos kreivė aukščiausio ir vidutinio išsilavinimo grupėse beveik nesiskiria. Šie procesai iš dalies leidžia patvirtinti ekonominę part­nerio paieškos ir partnerystės sudarymo teoriją (Surra and Boelter 2013), kad aukščiausio ir vidutinio išsilavinimo grupė atideda santuoką iki tol, kol įgis išsilavinimą ir pasieks tam tikrą ekonominį stabilumą. Po 3,5 metų kohabitacijų išlikimo tikimybė visose išsilavinimo grupėse labai supanašėjo, taigi galima daryti išvadą, kad iš visų išgyvenusiųjų santuokos virsmą matome (neskaitant iširusių partnerysčių), kad aukščiausio bei vidutinio išsilavinimo grupėje santuoka tiesiog atidedama iki tol, kol bus įgytas aukštesnis išsilavinimas.

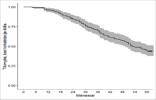
Kohabitacijos iširimas

Pirmosios partnerystės stabilumas taip pat yra reikšmingas indikatorius, rodantis kohabitacijos vaidmenį šeimos kūrimo procese. Greitai nuo sukūrimo pradžios išyrančios kohabitacijos reiškia, kad tai yra tik trumpalaikė partnerystė ir gali būti traktuojama kaip susitikinėjimo proceso dalis, susijusi su partnerio paieškomis. Nesantuokinės partnerystės plitimas yra pasiekęs pirmąją raidos stadiją ir tapatinamas su bandomąja santuoka, siekiant pasitikrinti suderinamumą gyvenant bendrame namų ūkyje (Hiekel 2014). Ilgai iki iširimo trunkančios kohabitacijos tapatinamos su nauju šeimos kūrimo modeliu (Heuveline and Timberlake 2004; Jalovaara and Kulu 2018).

Bendra kohabitacijų iširimo kreivė (7 pav.) rodo, kad per 5 mėnesius nuo partnerystės pradžios išliko 47 proc. kohabitacijų, o likusi dalis iširo vėliau nei po penkerių metų. Medianinis nesantuokinės partnerystės iki santykių nutraukimo laikas buvo šiek tiek daugiau nei ketveri metai (52 mėnesiai), o 25 proc. asmenų iki partnerystės iširimo kartu gyveno dvejus metus ar trumpiau.

 

64119.png 

7 pav. Laikas kohabitacijoje iki santykių nutraukimo, mėnesiais
Šaltinis: Šeimų ir nelygybių tyrimas, 2019.

64109.png 

8 pav. Laikas kohabitacijoje iki santykių nutraukimo, mėnesiais
Šaltinis: Šeimų ir nelygybių tyrimas, 2019.

Analizuojant bendrą kohabitacinių santykių nutraukimo dinamiką, nei lytis, nei išsilavinimas neleidžia prognozuoti, kada asmuo nutrauks kohabitacinius santykius. Tačiau laikas, praleistas nesantuokinėje partnerystėje iki jos iširimo, reikšmingai skiriasi skirtingu laiku gimusiose kohortose (8 pav.). Ilgiausiai iki partnerystės iširimo kohabitavo 1970–1974 m. gimusios kohortos ir medianinis laikas iki santykių nutraukimo yra apie 60 mėnesių ir daugiau. Jauniausioje kohortoje medianinis laikas nuo kohabitacijos iki partnerystės iširimo lygus 46 mėnesiams.

Apibendrintai galima teigti, kad kohabitacijos tranzicijos – tiek santykių nutraukimas, tiek virsmas į santuoką – statistiškai reikšmingai kinta skirtingose kohortose. Kuo jaunesnė kohorta, tuo kohabitacijos perėjimas į santuoką truko ilgiau, o jei kohabitacija iširo, tai įvyko greičiau. Tai leidžia teigti, kad kohabitacija, nors ir nepakeičia santuokos instituto, galiausiai linkusi peraugti į santuoką. Tačiau ilgėjantis kohabitacijos laikas iki santuokos leidžia daryti prielaidą, kad kohabitacija Lietuvoje pradeda konkuruoti su santuokos institutu ir, tikėtina, vyksta slinktis link galutinės kohabitacijos raidos stadijos.

Kohabitacijų virsmas: santuoka arba iširimas

Ištyrus kohabitacijų peraugimą į santuoką ar iširimą ir šio tapsmo ypatumus skirtingose kohortose ir išsilavinimo grupėse, aktualu lygia greta palyginti, kokia tikimybė, kad kohabitacija peraugs į santuoką ar iširs. Šiam tikslui panaudotas konkuruojančių rizikų metodas.

Įvertinus, kiek ilgai trunka kohabitacija iki santuokos ir tokių santykių tvarumą, jei jie iš viso nutraukiami, galima teigti, kad kohabitacija kur kas dažniau perauga į santuoką nei išyra (9 pav.). Nuo kohabitacijos pradžios prabėgus 2,5 metų (30 mėnesių) yra 8 proc. tikimybė, kad tokie santykiai iširs, ir 92 proc. tikimybė, kad peraugs į santuoką. Tačiau kohabitacijai besitęsiant ilgiau nei 2,5 metų, jos tikimybė iširti didėja, o kohabitaciniams santykiams išsilaikius penkerius metus, išlieka 15 proc. tikimybė, kad jie iširs, ir 85 proc. tikimybė, kad peraugs į santuoką.

64765.png 

9 pav. Kohabitacijos perėjimo į santuoką ar iširimą tikimybė, mėnesiais
Šaltinis: Šeimų ir nelygybių tyrimas, 2019.

Išanalizuoti, kokiose socioekonominėse ar sociodemografinėse grupėse didėja tikimybė, kad kohabitacija peraugs į santuoką, sudarytas Coxo proporcingos rizikos modelis (Fox 2002). Šis regresijos modelis leidžia identifikuoti kohabitacijos peraugimo į santuoką tikimybę (neatsižvelgiant į kohabitacijos iširimą), kuri susijusi su kohabituojančių asmenų charakteristikomis. Metodo pranašumas yra tai, kad galime identifikuoti kelis nepriklausomuosius kintamuosius, kurie yra susiję su nesantuokinės partnerystės peraugimo į santuoką tikimybe per pasirinktą laikotarpį (60 mėnesių).

Kohabitacijų perėjimui į santuoką įtakos turi kohortos gimimo laikas ir išsilavinimas. Asmenų, gimusių 1980–1984 m. ir turinčių aukštesnį išsilavinimą, nesantuokinė partnerystė trunka ilgiau. Kohabitacijos iširimui įtaką daro tik kohortos gimimo laikas – jaunesnių (gimusiųjų 1980–1984 m.) kohortų partnerystė išyra anksčiau nei vyresnių (gimusiųjų 1970–1974 m. ar 1975–1979 m.) kohortų. Kita vertus, lytis nėra reikšmingas veiksnys, lemiantis nesantuokinės partnerystės trukmę. Tačiau šie kintamieji yra tik dalis aptartų socioekonominių, sociodemografinių veiksnių, kurie gali turėti įtakos kohabitacijų virsmui santuoka.

Ar išsilavinimas ir kohortos efektas išliks reikšmingi kohabitacijų tapsmo santuoka veiksniai, kontroliuojant ir kitus galimus veiksnius: lytį, religingumą, tėvų skyrybas, amžių pirmos partnerystės metu, moters nėštumą arba partnerės nėštumą (vyrų atveju), darbinės patirties turėjimą (iki santuokos sudarymo) ir užbaigtą lavinimąsi (iki santuokos)?

Kaip minėta, darbas ir ekonominis stabilumas yra svarbūs veiksniai, darantys įtaką nesantuokinės partnerystės virsmui santuoka. Visgi, remiantis Coxo proporcingos rizikos modeliu (3 lentelė), reikia atmesti hipotezę, kad kohabitacijos peraugimui į santuoką per penkerius metus nuo jos sudarymo pradžios darbinės patirties turėjimas daro statistiškai reikšmingą įtaką.

Išsilavinimo lygmuo, kuris nurodo aukščiausią individo įgytą išsilavinimą, Lietuvoje susijęs su kohabitacijos virsmu santuoka. Neatsižvelgiant į iširusias partnerystes, žemiausias išsilavinimas 17 proc. didina tikimybę, kad kohabitacija per penkerius metus nuo jos pradžios virs santuoka.

Studijų trukmė taip pat reikšmingai susijusi su nesantuokinės partnerystės virsmu santuoka, nes siekiant išsilavinimo kohabituojama ilgiau. Nebaigtos studijos Lietuvoje yra susijusios su 1,5 karto greitesniu kohabitacijos peraugimu į santuoką.

Gyvenamoji vieta taip pat daro įtaką kohabitacijų virsmui santuoka. Jei gyvenama mieste, bet ne kaime ir ne didmiestyje (Vilniuje, Kaune ar Klaipėdoje), tai tikimybė, kad kohabitacija neperaugs į santuoką, padidėja 76 proc.

Nėštumas iki santuokos didina tikimybę kohabitacijai pereiti į santuoką. Tikimybė, kad moteriai pastojus kohabitacija greitai peraugs į santuoką, didėja iki 61 proc. Vadinasi, nors kohabitacija Lietuvoje ir konkuruoja su santuokos institutu ir kohabitacijos trukmė iki santuokos ilgėja, vaikų susilaukimas vis dar nėra siejamas su kohabitacija ir, jei planuojamas šeimos pagausėjimas, skubama susituokti.

3 lentelė. Kohabitacijos virsmas santuoka, atsižvelgiant į darbinę patirtį, studijas, amžių, gyvenamąją vietą, nėštumą iki santuokos, religingumą ir tėvų skyrybas

Charakteristika

Charakteristikos
kategorija

Galimybės
Exp (coef.)

Pasikliautinasis intervalas

Reikšmingumas

Darbinė patirtis

Turėjo darbinės patirties iki santuokos

Ref.

 

1

Neturėjo darbinės patirties iki santuokos

1,20

(1,00–1,45)

n

Išsilavinimo
lygis

Aukščiausias

Ref.

 

1

Žemiausias

1,17

(1,46–2,16)

***

Vidutinis

1,16

(0,98–1,38)

n

Studijų baigimas iki santuokos

Baigė studijas iki santuokos

Ref.

 

1

Nebaigė studijų iki santuokos

1,46

(1,17–1,71)

***

Amžius pirmos partnerystės metu

 

1,00

(1,00–1,00)

n

Gyvenamoji vieta

Didmiestis

Ref.

 

1

Kaimas

0,97

(0,82–1,15)

n

Miestas

0,75

(0,64–0,87)

***

Nėštumas

Ne

Ref.

 

1

Taip

1,61

(1,16–2,24)

**

Tėvų skyrybos

Taip

Ref.

 

1

Ne

1,11

(0,92–1,33)

n

Religingumas

Netikintis

Ref

 

1

Tikintis

1,12

(0,90–1,39)

n

Lytis

Vyras

Ref.

 

1

Moteris

1,04

(0,9–1,19)

n

Šaltinis: Šeimų ir nelygybių tyrimas, 2019.
N = 1 024; statistinio reikšmingumo lygmuo *** p < 0,001, ** p < 0,01, * p < 0,05; n – nereikšminga.

Šeimos struktūra, tai yra ar kohabituojančių asmenų tėvai buvo išsiskyrę, neturi statistiškai reikšmingos įtakos kohabitacijų virsmui į santuokas, kaip ir religiniai asmenų įsitikinimai.

Apibendrintai galima teigti, kad selektyvumas, kuris susijęs su kohabitacijos virsmu į santuoką, Lietuvoje labiausiai atsiskleidžia analizuojant išsilavinimo lygį, edukacijos proceso užbaigtumą, gyvenamąją vietą ir nėštumą. Vadinasi, Lietuvoje kohabitacija nėra universalus reiškinys, išplitęs visose grupėse, ir išsilavinimas, gyvenamoji vieta bei nėštumas turi įtakos, ar kohabituojantys asmenys nuspręs susituokti. Taigi, nors ilgėjanti kohabitacijų trukmė rodo, kad kohabitacija nėra pirmosiose savo raidos stadijose ar tik preliudija į santuoką, visgi 61 proc. didėjanti tikimybė, kad moteriai pastojus nesantuokinė partnerystė peraugs į santuoką, reiškia, jog kohabitacijos raida nėra pasiekusi galutinės savo stadijos ir tapusi santuokos alternatyva Lietuvoje.

Išvados

Šiuo straipsniu siekta parodyti nesantuokinės partnerystės instituto kaitą Lietuvoje bei socialinių ir demografinių veiksnių įtaką tokios partnerystės trukmei, jos tapsmui santuoka ar iširimui.

Bendrai nusakant asmenų, kurie gimė 1970–1984 m., šeimos ir partnerystės formavimo trajektorijas, matyti aiški tendencija, kad su kiekviena penkeriais metais jaunesne kohorta (1970–1974 m., 1975–1979 m., 1980–1984 m.) didėjo dalis asmenų, kurie pirmą partnerystę pradėjo kohabitaciniais santykiais. Kita vertus, nors vis daugiau asmenų šeiminį gyvenimą pradėjo nuo kohabitacijos ir laikas, praleistas tokioje partnerystėje, ilgėjo, ikisantuokinė partnerystė Lietuvoje nėra tapusi santuokos alternatyva – didžioji dalis visuomenėje tirtų kohortų galiausiai susituokė. Per tirtą penkerių metų laikotarpį beveik visos kohabitacijos peraugo į santuoką ir tik nedidelė dalis tokių partnerysčių iširo ar tęsėsi ilgiau nei penkerius metus.

Išanalizavus 1970–1984 m. gimimo kohortos pirmąsias partnerystes, kurios prasidėjo kaip kohabitacija, didėjanti kohabituojančiųjų dalis ir ilgėjanti nesantuokinės partnerystės trukmė rodo, kad kohabitacijų plitimas, prasidėjęs Lietuvoje nuo 1990 m., jau įsitvirtino kaip šeimos kūrimo pradžia ir kohabitacija pradeda konkuruoti su santuokos institutu. Tačiau kohabitacija vis dar traktuojama kaip šeimos kūrimo startas. Nors tokios partnerystės trukmė ir ilgėja, tačiau nepakeičia santuokos kaip vaikų susilaukimo ir auginimo instituto reikšmės, o nėštumas skatina greitesnį partnerystės sutvirtinimą santuoka.

Kohabitacijos kaip pirmos partnerystės sudarymo socialinės reprodukcijos mechanizmas taip pat neleidžia Lietuvos priskirti prie šalių, kuriose nesantuokinės partnerystės formavimo raida yra perėjusi visas stadijas ir kohabitacija praktikuojama gana universaliai įvairiose socialinėse grupėse. Lietuvoje vis dar galima identifikuoti selektyvias asmenų, pasirenkančių kohabitaciją, grupes. Minėtam kohabitacijų virsmui santuoka (iš visų santuoka virtusių kohabitacijų) poveikį turi išsilavinimo, ekonominio stabilumo ir vaikų susilaukimo veiksniai.

Visų analizuotų kohabitacijų, kurios peraugo į santuoką, virsmas priklausė nuo įgyto išsilavinimo lygmens, o nebaigusieji studijų kohabitavo ilgiau nei tie, kurie jau buvo įgiję išsilavinimą. Įgiję žemiausią išsilavinimą (ISCED 0-2) viename namų ūkyje gyveno trumpiausiai ir 50 proc. šių asmenų susituokė per 6 mėnesius nuo kohabitacijos pradžios. Asmenys, kurie siekė aukštesnio išsilavinimo, santuoką atidėjo iki tol, kol užbaigė savo studijas. Selektyvumas Lietuvoje analizuotose kohortose taip pat susijęs su gyvenamąja vieta – yra didesnė tikimybė, kad kohabitacija nevirs santuoka, gyvenant mieste, bet ne didmiestyje ar kaimo vietovėje.

Padėka

Straipsnis parengtas įgyvendinant projektą „Šeimos, nelygybės ir demografiniai procesai“, kuris finansuotas iš Europos socialinio fondo lėšų (projektas Nr. DOTSUT–09.3.3-LMT-K-712-01-0020) pagal dotacijos sutartį su Lietuvos mokslo taryba.

Literatūra

Bumpass, Larry; Lu, Hsien-Hen. 2000. „Trends in Cohabitation and Implications for Children’s Family Contexts in the United States“, Population Studies 54 (1): 29–41. https://doi.org/10.1080/713779060

Carlson, Marcia; McLanahan, Sara; England, Paula. 2004. „Union Formation in Fragile Families“, Demography 41(2): 237–261. https://doi.org/10.1353/dem.2004.0012

Cherlin, Andrew J. 2005. „American Marriage in the Early Twenty-first Century“, The Future of Children 15 (2): 33–55. https://doi.org/10.1353/foc.2005.0015

Daukšaitė, Laura. 2019. „Tapsmas suaugusiuoju: išėjimas iš tėvų namų paskutinėje sovietmečio ir pirmojoje posovietinėje kartose“, Sociologija. Mintis ir veiksmas 1 (44): 131–154. https://doi.org/10.15388/SocMintVei.2019.1.11

Di Giulio, Paola; Impicciatore, Roberto; Sironi, Maria. 2019. „The Changing Pattern of Cohabitation: A Sequence Analysis Approach“,  Demographic Research 40: 1211–1248. https://doi.org/10.4054/DemRes.2019.40.42

Fox, John. 2002. „Cox Proportional-Hazards Regression for Survival Data“ in John Fox An R and S-PLUS Companion to Applied Regression. California: Sage Publications, Inc, Thousand Oaks: 1– 18.

Gassen, Nora Sánchez; Perelli-Harris, Briena. 2015. „The Increase in Cohabitation and the Role of Union Status in Family Policies: A Comparison of 12 European Countries“, Journal of European Social Policy 25 (4): 431–449. https://doi.org/10.1177/0958928715594561

Heuveline, Patrick; Timberlake, Jeffrey M. 2004. „The Role of Cohabitation in Family Formation: The United States in Comparative Perspective“, Journal of Marriage and Family 66 (5): 1214–1230. https://doi.org/10.1111/j.0022-2445.2004.00088.x

Hiekel, Nicole. 2014. The Different Meanings of Cohabitation across Europe: How Cohabiters View Their Unions and Differ in Their Plans and Behaviors. Amsterdam: Amsterdam University Press.

Impicciatore, Roberto; Billari, Francesco C. 2012. „Secularization, Union Formation Practices, and Marital Stability: Evidence from Italy“, European Journal of Population / Revue européenne de Démographie 28 (2): 119–138. https://doi.org/10.1007/s10680-012-9255-4

Jalovaara, Marika; Kulu, Hill. 2018. „Separation Risk over Union Duration: An Immediate Itch?“,  European Sociological Review 34 (5): 486–500. https://doi.org/10.1093/esr/jcy017

Kiernan, Kathleen. 2001. „The Rise of Cohabitation and Childbearing outside Marriage in Western Europe“, International Journal of Law, Policy and the Family 15 (1): 1–21. https://doi.org/10.1093/lawfam/15.1.1

Kraniauskienė, Sigita, 2011. Tapsmas suaugusiuoju: jaunimo socialinė branda Lietuvoje. Vilnius: Lietuvos socialinių tyrimų centras.

Lesthaeghe, Ron. 2014. „The Second Demographic Transition: A Concise Overview of Its Development“, Proceedings of the National Academy of Sciences 111 (51): 18112–18115. https://doi.org/10.1073/pnas.1420441111

Lu, Bo; Qian, Zhenchao; Cunningham, Anna; Li, Chih-Lin. 2012. „Estimating the Effect of Premarital Cohabitation on Timing of Marital Disruption: Using Propensity Score Matching in Event History Analysis“, Sociological Methods & Research 41 (3): 440–466. https://doi.org/10.1177/0049124112452395

Maslauskaitė, Aušra. 2009. „Kohabitacija Lietuvoje: šeimos formavimo etapas ar „nauja šeima“?“ kn. Vlada Stankūnienė, Aušra Maslauskaitė (ats. red.) Lietuvos šeima: tarp tradicijos ir naujos realybės. Vilnius: Lietuvos socialinių tyrimų centras: 37–98.

McLanahan, Sara. 2004. „Diverging Destinies: How Children are Faring under the Second Demographic Transition“, Demography 41 (4): 607–627. https://doi.org/10.1353/dem.2004.0033

Mills, Melinda; Blossfeld, Hans-Peter; Klijzing, Erik. 2005. „Becoming an Adult in Uncertain Times: A 14-country Comparison of the Losers of Globalization“ in Hans-Peter Blossfeld, Erik Klijzing, Melinda Mills and Karin Kurz (eds.) Globalization, Uncertainty and Youth in Society: The Losers in a Globalizing World. London: Routledge: 438–458. https://doi.org/10.4324/9780203003206

Oppenheimer, Valerie Kincade. 1994. „Women’s Rising Employment and the Future of the Family in Industrial Societies“, Population and Development Review 20 (2): 293–342. https://doi.org/10.2307/2137521

Perelli-Harris, Brienna. 2014. „How Similar are Cohabiting and Married Parents? Second Conception Risks by Union Type in the United States and Across Europe“, European Journal of Population 30 (4): 437–464. https://doi.org/10.1007/s10680-014-9320-2

Perelli-Harris, Brienna; Bernardi, Laura. 2015. „Exploring Social Norms around Cohabitation: The Life Course, Individualization, and Culture: Introduction to Special Collection: “Focus on partnerships: discourses on cohabitation and marriage throughout Europe and Australia”“, Demographic Research 33 (25): 1–34. http://dx.doi.org/10.4054/DemRes.2015.33.25

Perelli‐Harris, Brienna; Gassen, Nora S. 2012. „How Similar Are Cohabitation and Marriage? Legal Approaches to Cohabitation across Western Europe“, Population and Development Review 38 (3): 435–467. https://doi.org/10.1111/j.1728-4457.2012.00511.x

Prinz, Christopher. 1995. Cohabiting, Married, or Single: Portraying, Analyzing and Modeling New Living Arrangements in the Changing Societies of Europe. Aldershot: Avebury.

Rindfuss, Ronald R.; VandenHeuvel, Audrey. 1990. „Cohabitation: A Precursor to Marriage or an Alternative to Being Single?“, Population and Development Review 16 (4): 703–726. https://doi.org/10.2307/1972963

Sobotka, Tomáš; Toulemon, Laurent. 2008. „Overview Chapter 4: Changing Family and Partnership Behaviour: Common Trends and Persistent Diversity across Europe“, Demographic Research 19: 85–138. https://dx.doi.org/10.4054/DemRes.2008.19.6

Stankūnienė, Vlada. 2009. „Šeimos formavimo modelių kaita: lyginamoji analizė“ kn. Vlada Stankūnienė, Aušra Maslauskaitė (ats. red.) Lietuvos šeima: tarp tradicijos ir naujos realybės. Vilnius: Lietuvos socialinių tyrimų centras: 7–36.

Stankūnienė, Vlada; Jonkarytė, Aiva; Mikulionienė, Sarmitė; Mitrikas, Algimantas A.; Maslauskaitė, Aušra. 2003. Šeimos revoliucija? Iššūkiai šeimos politikai. Vilnius: Socialinių tyrimų institutas.

Surra, Catherine A.; Boelter, Jill M. 2013. „Dating and Mate Selection“ in Gary W. Peterson and Kevin R. Bush (eds.) Handbook of Marriage and the Family. Boston, MA: Springer: 211–232. https://doi.org/10.1007/978-1-4614-3987-5_10

Thornton, Arland. 1991. „Influence of the Marital History of Parents on the Marital and Cohabitational Experiences of Children“, American Journal of Sociology 96 (4): 868–894. https://doi.org/10.1086/229611

1 2011 m. Tarptautinis standartizuotas švietimo klasifikatorius ISCED išskiria šiuos ugdymo lygius, kurie leidžia nustatyti įgytą išsilavinimą: 0 – ikimokyklinis ugdymas; 1 – pradinis ugdymas; 2 – pagrindinis ugdymas; 3 – vidurinis ugdymas; 4 – profesinis mokymas, turint vidurinį išsilavinimą; 5 – Lietuvoje nėra atitikmens (angl. short-cycle tertiary education); 6 – bakalauro ir profesinio bakalauro studijos; 7 – magistrantūros studijos; 8 – doktorantūra.