Buhalterinės apskaitos teorija ir
praktika ISSN 2538-8762 eISSN 1822-8682
2019, Nr. 20, DOI: https://doi.org/10.15388/batp.2019.13
Jonas
Mackevičius
Vilniaus universitetas, Lietuva
jonas.mackevicius@evaf.vu.lt
Daiva
Raziūnienė
Vilniaus universitetas, Lietuva
daiva.raziuniene@evaf.vu.lt
Romualdas
Valkauskas
Vilniaus universitetas, Lietuva
romualdas.valkauskas@evaf.vu.lt
Anotacija. Finansinės analizės informacijos vertę lemia jos naudingumas, naudojimo galimybės ir laikas tokiai vertei sukurti ir daugelis kitų dimensijų. Šios ir kitos finansinės analizės informacijos dimensijos iki šiol tyrinėtos nesistemiškai, neformuota jų pasireiškimo bei įvertinimo metodika. Straipsnio tikslas – išnagrinėti finansinės analizės informacijos vertės dimensijas, parengti jų pasireiškimo bei nustatymo metodikos teorinį modelį. Tikslui pasiekti taikyti tyrimo metodai: mokslinės literatūros analizės, informacijos rinkimo, grupavimo, detalizavimo ir apibendrinimo. Straipsnyje yra nagrinėjamas finansinės analizės perdavimo, finansinės analizės vertės parametrų ir finansinės informacijos vertės ryšys. Pasiūlytas finansinės analizės informacijos perdavimo vartotojams išlaidų ir jos vertės parametrų nustatymo metodikos teorinis modelis. Pateikiamas finansinės analizės informacijos vertės parametrų vaidmens jos vertei pasireiškimo vertinimas.
Reikšminiai žodžiai: finansinė analizė, finansinės analizės informacija, informacijos vertė.
JEL klasifikacija: M49
Jonas Mackevičius
Vilnius
university, Lithuania jonas.mackevicius@evaf.vu.lt
Daiva
Raziūnienė
Vilnius university, Lithuania daiva.raziuniene@evaf.vu.lt
Romualdas
Valkauskas
Vilnius university, Lithuania romualdas.valkauskas@evaf.vu.lt
Annotation. The value of financial information analysis depends on usability, efforts, duration, etc. These dimensions have not been systematically reviewed as well as assessment methods have not been established yet. The purpose of the article is an examination of value dimensions and arrangement of the model for identifying and determining analysis methods. Research methods of this article are literature analysis, classification, specification and generalization of information. In this article, we focus on financial analysis data and the relation between information and its value. We suggest the theoretical model which determines dimensions of the information value and costs related to its transfer. We propose a method of evaluating parameters of value and how these parameters may influence its exposure.
Keywords: financial analysis, financial information, information value.
JEL Code: M49
Copyright © 2019 Jonas Mackevičius, Daiva Raziūnienė, Romualdas
Valkauskas Published by Vilnius University
Press
This is an Open Access article
distributed under the terms of the Creative
Commons Attribution Licence, which permits
unrestricted use, distribution, and reproduction in any medium, provided the
original author and source are
credited.
Submitted on
12.12.2019
Teisingai surinkta ir apibendrinta informacija yra pagrindinis šaltinis optimaliems sprendimams priimi. Finansinės analizės informacija vertinama pagal jos vertingumą. Vertinga informacija yra tokia, kuri yra naudinga veiklai. Jei informacija niekam nesvarbi, tai ji ir nevertinga. Informacija yra vertinga tik tada, kai ją turinčio vartotojo veiksmai skiriasi nuo veiksmų, atliekamų neturint tos informacijos. Finansinės analizės informacijos vertė slypi ne tik jos kiekybėje, bet ir kokybėje, dėl kurios kriterijų dar vis diskutuojama. Lietuvos Respublikos Buhalterinės apskaitos įstatyme (2001) nurodyta, kad įmonės privalo apskaitą tvarkyti taip, kad apskaitos informacija būtų: 1) tinkama, objektyvi ir palyginama; 2) pateikiama laiku; 3) pakankamai išsami ir vertinga vidaus ir išorės vartotojams. Tarptautiniuose finansinės atskaitomybės standartuose (2007) nurodomos keturios kokybinės finansinių ataskaitų savybės: 1) suprantamumas; 2) svarbumas; 3) patikimumas; 4) palyginamumas. Mackevičius (2009, p. 28–29) nurodo šešias informacijos savybes, kurios svarbios priimant operatyvinius ir strateginius ekonominius sprendimus: 1) suprantamumas; 2) svarbumas; 3) patikimumas; 4) palyginamumas: 5) operatyvumas; 6) pakankamumas. Stonner, Freeman, Gilbert (1999, p.603–604) teigia, kad informacija turi atitikti keturis kriterijus: 1) kokybę; 2) pateikimą laiku; 3) kiekį; 4) tinkamumą valdymui. Kiekybinių metodų ir jų taikymui skirtuose darbuose (Čekanavičius, Murauskas, 2000; Levine ir kt. 2005; Schlittgen, 2012; Martišius, Kėdaitis, 2010, ir kt.) pateikiama įvairių reiškinių kokybės vertinimo nuostatų. Finansinės analizės informacijos vertė yra daugelio kintamųjų funkcija, kai kurie klausimai nagrinėjami Brag (2013), Bagdžiūnienės (2008), Buškevičiūtės, Mačerinskienės (2008), Mackevičiaus (2009), Gibson (2011), Girdzijausko (2005), Juozaitienės (2008), Tamulevičienės (2016), Zelgalve, Zacharchenko (2012) ir kitų autorių darbuose. Informacijos naudingumui, jos vertei apibūdinti siūlomi sprendiniai, kurie, nepaisant atskirų bandymų tokių kaip Giriūnas, Mackevičius, Valkauskas (2011), Mackevičius, Valkauskas (2016) nėra baigtiniai.
Tyrimo objektas – finansinės analizės informacijos vertė. Tyrimo tikslas – išnagrinėti finansinės analizės informacijos vertės dimensijas bei parengti jų pasireiškimo ir nustatymo metodikos teorinį modelį. Tyrimo tikslui pasiekti buvo iškelti šie uždaviniai: išnagrinėti vertės kategorijos vietą ir vaidmenį finansinės analizės informacijos vartojime; išnagrinėti finansinės analizės informacijos vertės dimensijas; parengti finansinės analizės informacijos vertės dimensijų pasireiškimo bei nustatymo metodikos teorinį modelį. Tyrimo šaltiniai: užsienio ir Lietuvos autorių mokslinės publikacijos. Tyrimo metodai – mokslinės literatūros analizės, informacijos grupavimo, lyginimo, detalizavimo ir apibendrinimo.
Įmonės finansinė būklė – šios srities reiškinių ir procesų dinamiškas spektras, kurį galima įvardinti kaip kokybiškai vienarūšių elementų, apibūdinamų bendrais požymiais - rodikliais, aibę. Tokios aibės struktūra susideda iš vienetų aibės ir požymių aibės. Jų junginiu ir apibūdinamas reiškinys, procesas. Galime išskirti tris finansinės analizės duomenų tipus: 1) duomenys, kurie yra vienu ar kitu būdu surinkti (apskaičiuoti) skaičiai (I); 2) kiti duomenys, tarp kurių yra kiekybiškai “neišmatuojamų” (II); 3) teorija, besiremianti dedukcijos būdu gautais faktais ar apibendrinanti I ir II tipus (III).

1 pav. Finansinės analizės
duomenų tipų ryšys
Šaltinis: sudaryta autorių
Iš 1 paveikslo matyti, kad I, II ir III tipų duomenys yra glaudžiai susiję. I ir II, II ir III, o ir I, II ir III tipai turi bendrų sąlyčio taškų. Šie sąlyčio taškai apima kiekybinius stebėjimus (I ir II sąlytis) ir aprašymą (II ir III sąlytis). Taigi, I ir II tipų duomenys yra platesnė sąvoka, palyginus su finansinės analizės informacija, kuri susijusi su teorija. Ir tik per tą ryšį duomenys tampa informacija. Informacija – tai nėra vien duomenys. Duomenys tampa informacija, kai yra naudojami kokiam nors tikslui siekti ar pasiekti. Galiausiai, tik išsiaiškinus duomenų privalumus ir trūkumus galima juos analizuoti. Finansinės analizės duomenys vertingi tiek, kiek jie padeda informacijai gauti ir jos vertei kurti. Savo ruožtu, finansinės analizės informacija jos vartotojui yra duomenys. Finansinės analizės informacijos teikiama nauda ir jos vertė priklauso nuo to, kiek tiksliai ji atitinka tikslus finansinės analizės objekto kontekste. Galima teigti, kad finansinės analizės informacijos vertė yra ta svarba, kurią įmonė teikia informacijai – gėrybei. Subjektyviu požiūriu, vertė egzistuoja vertintojo sąmonėje, objektyviu – finansinės analizės informacijos vertę lemia jos naudingumas, naudojimo galimybės ir laikas tokiai vertei sukurti ir daugelis kitų savybių. Savo ruožtu, tai gali turėti kainą t.y. vertinį atitikmenį.
Ekonomikos teorijos tyrinėjimams skirtuose darbuose (Čiegis, 2012; Davulis, 2009; Snieška ir kt., 2006; Wonnacott, Wonnacott, 1993; ir kt.) pabrėžiamas kainos esminis vaidmuo ekonomikoje. Tik jos pagalba praktinėje ir teorinėje ekonomikoje atsiranda kiekybinis ekonominių reiškinių ir procesų aprašymas pinigine išraiška. Be abejo, rinkos kaina yra artimiausia visiems realioje ekonomikoje vykdomiems mainams. Tikėjimas rinkos kainos objektyvumu yra vyraujančios ekonomikos teorijos pagrindas, grindžiamas racionalių lūkesčių ir efektyvios rinkos sąvokomis. Finansinės analizės informacijos kaina čia nėra išimtis ir ji yra vertybių suma, kurią finansinės analizės informacijos vartotojai išmaino į teisę ją turėti ar naudotis. Siaurąja prasme finansinės analizės informacijos kaina yra už ją mokama pinigų suma arba pinigai, kuriuos vartotojas keičia į naudą, gaunamą iš finansinės analizės informacijos. Šioje vietoje ir pasireiškia finansinės analizės informacijos vertingumas arba jos vertė. Būtina pabrėžti dar vieną dalyką – finansinės analizės informacija ir laikas yra vieni svarbiausi įveikiant šių dienų iššūkius. Per kuo trumpesnį laiko tarpą surinkti kuo daugiau informacijos yra ypač svarbus tikslas, formuojantis poreikį atrinkti tai, kas reikalinga dabarties ir perspektyvų vertinimui.
Finansinės analizės informacija yra perduodama jos vartotojams. Plačiąja prasme finansinės informacijos vartotojais vadinami asmenys ir institucijos naudojantys šią informaciją konkretiems tikslams pasiekti (Giriūnas, Mackevičius, Valkauskas, 2014).
Tarptautiniuose finansinės atskaitomybės standartuose (2007, p. 307) nurodytos septynios finansinės informacijos vartotojų grupės: 1) investuotojai; 2) darbuotojai; 3) kreditoriai; 4) tiekėjai ir kiti prekybos kreditoriai; 5) klientai; 6) vyriausybės ir jos organizacijos; 7) visuomenė. Yra ir kitų netiesiogiai suinteresuotų informacijos vartotojų, kurie taip pat turi tam tikrų interesų. Tai audito ir apskaitos konsultacinės įmonės, draudimo kompanijos, vertybinių popierių biržos, advokatų ir kitos teisinės įmonės, profesinės sąjungos, žiniasklaida ir t.t. Mackevičius (2009), atsižvelgdamas į informacijos vartotojų buvimo vietą, tikslus ir interesus, visus juos suskirsto į tris grupes: 1) vidaus (įmonės) dalyviai; 2) išorės verslo dalyviai; 3) vyriausybė ir jai pavaldžios institucijos.
Didėjant verslo konkurencijai, analitine informacija vis labiau domisi išorės analitikai, kurie dažniausiai būna kitų konkuruojančių įmonių specialistai. Išorės analitikai stengiasi surinkti kuo daugiau informacijos apie juos dominančių įmonių veiklą, ją palyginti ir nustatyti atskirų įmonių teigiamas ir neigiamas veiklos puses. Tačiau, finansinės analizės informacijos vartotojai turi nelygias galimybes prieiti prie informacijos ir ja naudotis. Įmonių vadovybė, administracija ir vadybininkai gali naudotis analitikų surinkta, ištirta ir apibendrinta informacija. O kiti finansinės analizės informacijos vartotojai patys analizuoja duomenis, nes ne visa analitikų medžiaga viešai skelbiama. Svarbu ir tai, kad ne visi finansinės analizės informacijos vartotojai vienodai reaguoja į pateikiamos informacijos kiekį, kokybę ir struktūrą. Ne visi vartotojai vienodai supranta tą pačią informaciją, ne visi ją vienodai apibendrina, analizuoja ir naudoja. Labai svarbu, kad informacijos vartotojai gautų tik jiems reikalingą, atitinkamai susistemintą ir sugrupuotą informaciją. Nuo to, ar laiku ir geros kokybės informacija pateikiama vartotojams, priklauso daugelis dalykų. Kitaip tariant turime mažiausiai dvi finansinės analizės informacijos vertės komponentes:
1) finansinės analizės informacijos perdavimas;
2) finansinės analizės informacijos vertės parametrai.
Išskiriamu atveju, finansinės analizės informacijos vertės nustatymo metodikos komponentės ir jų ryšio teorinis modelis schematiškai gali būti pateiktas taip, kaip parodyta 2 paveiksle.

2
pav. Finansinės analizės informacijos vertės nustatymo teorinis
modelis
Šaltinis: sudaryta autorių.
2 paveikslas rodo, kad finansinės analizės informacijos perdavimo komponentė ir finansinės analizės informacijos vertės parametrų komponentė susijusios, o finansinės analizės informacijos vertė yra šių komponenčių suma:
Y= Y1 + Y2 .
Komponenčių ryšį bei jo turinį formuoja finansinės analizės informacijos vartotojų spektras. Pirmos finansinės analizės informacijos vertės komponentės atveju, turime finansinės analizės informacijos perdavimo išlaidas, kurias sudaro: 1) perdavimo technologija (PT); 2) jos įsigijimo – eksploatavimo išlaidos (IEK); 3) darbo išlaidos (DK). Tokiu būdu finansinės analizės informacijos pateikimo vartotojams išlaidas (Y1) galime išreikšti funkcija:

čia ε – nenumatyti kintamieji - atsitiktinės komponentės.
Taigi, atsižvelgiant į finansinės analizės informacijos perdavimo technologijų bei finansinės analizės informacijos vartotojų įvairumą, turime šią sistemą:

čia:
i = 1, 2 ,…, n; n – finansinės analizės informacijos perdavimo technologijų variantai ir jų kiekis,
j = 1, 2, …, m; m – finansinės analizės informacijos vartotojų variantai ir jų kiekis.
Finansinės analizės informacijos vertės jos perdavimo aspektu funkcijos realizacija ir išskirtų kintamųjų priklausomybės tipas yra susiję. Stochastinės priklausomybės kintamųjų kitimas apibūdina Y1 kitimą su tam tikra atsitiktine paklaida ε:

čia β0, β1, β2, β3 – funkcijos koeficientai.
Tiesinės stochastinės priklausomybės atveju turime:

Panaudojus regresijos lygtį, galima su tam tikru patikimumu prognozuoti Y1 reikšmes atsižvelgus į išskirtų kintamųjų reikšmes. Kita vertus, svarbesnis kitas aspektas, o būtent finansinės analizės informacijos vertės parametrai, kuriais yra šie kintamieji: 1) gavimo laikas (T, informacijos gavimo ciklo trukmė); 2) kokybė (K1, atitikimas finansinės analizės informacijos vartotojų lūkesčiams pagal kokybės parametrą, K1); 3) kiekybė (K1, atitikimas finansinės analizės informacijos vartotojų lūkesčiams pagal informacijos kiekybės parametrą); 4) informacijos sauga (IS).
Taigi, finansinės analizės informacijos vertę jos parametrų aspektu (Y2) galime išreikšti šia funkcija:

čia: ε – nenumatyti kintamieji - atsitiktinės komponentės.
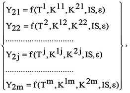
Jeigu atsižvelgsime į finansinės analizės informacijos vartotojų įvairumą, turėsime funkcijų sistemą:

čia: j = 1, 2,…, m; m – finansinės analizės informacijos vartotojų variantai ir jų kiekis.
Kaip ir finansinės analizės informacijos vertės vertinimui jos perdavimo aspektu, taip ir šiuo atveju, funkcijos realizacija ir išskirtų kintamųjų priklausomybės tipas yra susiję. Stochastinės priklausomybės kintamųjų kitimas apibūdina Y2 kitimą su tam tikra atsitiktine paklaida ε:

čia β0, β1, β2, β3,β4 – funkcijos koeficientai.
Tiesinės stochastinės priklausomybės atveju turime:

Panaudojus regresijos lygtį, galima su tam tikru patikimumu prognozuoti Y2 reikšmes atsižvelgus į išskirtų kintamųjų reikšmes. Šiame modelyje galimos įvairios kintamųjų išraiškos.
Kaip jau buvo minėta, ypatingai svarbi yra antroji finansinės analizės vertės komponentė – finansinės analizės informacijos vertės parametrai, kurie apima informacijos laiko, kiekybės, kokybės ir saugos kintamuosius. Kiekvienas finansinės analizės informacijos vertės parametras yra savitas. Jų poveikis pasireiškia skirtingai. Pirmasis finansinės analizės informacijos vertės parametras –finansinės analizės informacijos gavimo laikas – yra informacijos gavimo ciklo trukmė, kurio pradžia yra paraiška – būtinybės informacijai gauti momentas, o pabaiga – informacijos gavimo momentas. Šiame cikle galima išskirti tris pagrindinius etapus: 1) paraiškos rengimas – būtinybės atsiradimas ir pateikimas; 2) ,
informacijos rengimas (reiškinių stebėjimas, analizė ir jos rezultatų aprašymas); 3) informacijos pateikimas (žr. 3 paveikslą).

3 pav. Finansinės analizės
informacijos gavimo ciklas
Šaltinis: sudarė
autoriai
Iš trijų finansinės analizės informacijos gavimo ciklo etapų svarbiausias yra informacijos rengimo etapas, kuris apima dvi dedamąsias:
A) strategijos, plano rengimą, duomenų rinkimą – reiškinių stebėjimą;
B) duomenų (rodiklių) analizę bei analizės rezultatų įforminimą ir ataskaitos surašymą.
Strategijos, plano rengimo, duomenų rinkimo – reiškinių stebėjimo dedamoji yra itin svarbi. Turi būti tiksliai suformuluota analizės problema, t.y. ko siekiama atliekant tam tikro objekto (pvz. turto) analizę. Čia nusprendžiama, kokie objektai bus tiriami, ar bus atliekama kompleksinė ar teminė analizė. Čia aptariami analizės tyrimo būdai ir informacijos šaltiniai. Jame būtų tikslinga suformuluoti ir tam tikras hipotezes, numatyti, kaip geriau ir efektyviau atlikti analizę su mažiausiomis pastangomis.
Tinkamas finansinės analizės planavimas padeda nustatyti esamas įmonės veiklos problemas, rizikingiausias veiklos sritis. Čia gali būti sudaromi strateginiai, metiniai ir operatyviniai įmonių finansinės analizės planai. Visų lygių planuose išvardinamos rizikingiausios ir svarbiausios įmonės veiklos sritys, pagrindžiama, kodėl jas būtina analizuoti ir vertinti.
Be bendro finansinės analizės plano gali būti sudaromos konkrečių objektų (pvz. turto, nuosavo kapitalo, pelno, pardavimo pajamų ir kt.) analizės programos. Jos detalizuoja bendrąjį planą, nurodo smulkius darbus, kuriuos reikia atlikti analizės metu; iš įvairių informacijos šaltinių renkama tinkama informacija finansinei analizei atlikti; renkami absoliutiniai ir įvairių įmonės tarnybų apskaičiuoti santykiniai rodikliai; įsitikinama tuo, ar surinkti rodikliai buvo teisingai apskaičiuoti ir tinkamai pateikti apskaitos registruose ir finansinėse ataskaitose ir kad juos galima naudoti tolimesniuose analizės etapuose.
Finansinės analizės informacijos rengimo etapo antroji dedamoji – duomenų (rodiklių) analizė bei analizės rezultatų įforminimas ir ataskaitos surašymas reikšmingi tuo, kad absoliutinių finansinių rodiklių, taip pat gautų ir naujai apskaičiuotų santykinių rodiklių analizė padeda nustatyti įmonės mokumą ir pelningumą, plėtros galimybes ir veiklos tęstinumą, įvertinti jos vietą rinkoje tarp konkurentų, verslo ir finansinę riziką, prognozuoti veiklos rezultatus ir daugelį kitų dalykų, kurie pažymėti finansinės analizės informacijos gavimo pirmame etape – paraiškos rengimo ar būtinybės atsiradimo ir pateikimo etape. Galiausiai, čia svarbu nustatyti, kaip įforminti analizės rezultatus, kaip suformuluoti išvadas ir pasiūlymus, kad tai atitiktų finansinės analizės informacijos paraiškos rengimo – būtinybės atsiradimo ir pateikimo etape nustatytas nuostatas. Be abejo, finansinės analizės ataskaita turi atspindėti visą atliktą darbą, nurodyti kokie buvo pagrindiniai analizės tikslai, kokie buvo naudoti informacijos šaltiniai atliekant analizę, kokie buvo naudoti tyrimo metodai, kokiu nuoseklumu buvo atlikta analizė. Ji turi būti aiški ir vienareikšmiškai suprantama.
Finansinės analizės informacijos gavimo ciklą imant kaip visumą, galima teigti, kad kuo šis laiko tarpas ilgesnis, tuo informacijos vertė mažesnė. Tai galima pavaizduoti grafiškai (žr. 4 paveikslą).

4
pav. Finansinės analizės informacijos vertės kitimas
Šaltinis: sudarė autoriai
Iš 4 paveikslo matome, kad finansinės analizės informacijos gavimo ciklo dydžiui kintant, kinta ir šios informacijos vertė. Kuo laiko tarpas ilgesnis (tarkime, vėluojama pateikti informaciją), jos vertė krenta. Taip pat galimas toks vėlinimo laikas, kai informacija formuoja neigiamą naudą (nuostolį). Šiuo atveju, įmonėje svarbu užtikrinti kuo mažesnį informacijos vėlinimą ir nustatyti, kada ji tampa nereikalinga, neteikiančia naudos ar netenkinančia lūkesčių.
Kiti finansinės analizės informacijos vertės parametrai yra jos kokybė ir kiekybė, t.y. jos atitikimas finansinės analizės informacijos vartotojų lūkesčiams. Svarbu, kad informacijos kiekis atitiktų poreikius. Didelį jos kiekį lydi dalies informacijos išmetimo pavojus, o mažas kiekis neleidžia susidaryti tikro analizuojamo reiškinio ar proceso vaizdo. Būtinas šių parametrų optimalus santykis. Optimalus finansinės analizės informacijos kiekis (K1o) gali būti pasiektas vykdant ir šią optimizavimo sąlygą:

Tai savotiškas taškas, kurį „ignoravus“ papildomas finansinės analizės informacijos kiekis naudos neduoda. Geriausiai finansinės analizės informacijos kokybę (K2) apibendrintai indikuoja jos tinkamumas (SV, suprantama, palyginama, pakankama ir svarbi vartotojui) , patikimumas (RT, riba 100% ir tai yra siekiamybė, kuriai, be kitų momentų, turi poveikį laikas ir kaina), pateikimas (P, išsakyta vienareikšmiškai, kokybiškai techniškai įforminta ir operatyviai pateikta ir pan.) ir kiti veiksniai (ε), kurių spektrą formuoja ir tokios informacijos vartotojai, jų lūkesčiai. Kitaip tariant, finansinės analizės informacijos kokybė yra šių veiksnių funkcija:

Finansinės analizės informacijos vertės priklausomybė nuo jos kokybės yra apibrėžta, nes kokybė negali būti didesnė kaip 100%. Kita vertus, kokybės poveikis finansinės analizės informacijos vertei gali būti įvairus. Gali būti taip, kad: 1) menkos kokybės finansinės analizės informacija yra geriau negu jokios informacijos; 2) būtina tik aukštos kokybės finansinės analizės informacija, nes menkos kokybės ar netinkama analizės informacija gali būti prielaida klaidingiems sprendimams.
Nepaisant to, tiek pirmu atveju, tiek antru atveju augant finansinės analizės informacijos kokybei, jos vertė tik didėja. Finansinės analizės informacijos vertė ir šios informacijos apsauga (sauga), užtikrinanti jos neprieinamumą ne tik įmonės konkurentams, bet ir kitiems juridiniams ar fiziniams asmenims, yra susiję. Apsaugos ar šios srities saugumo stiprinimas finansinės analizės informacijos vertę tik didina, todėl yra išskiriamas kaip atskiras finansinės analizės informacijos vertės parametras.
Apibendrinant, galima tvirtinti, kad finansinės analizės informacijos vertei lemiamo poveikio turi jos gavimo ciklo trumpinimas racionaliai tai derinat su jos kiekybės - kokybės optimaliu santykiu.
1. Finansinės analizės informacijos vertė yra ta svarba, kurią įmonė teikia informacijai – gėrybei. Subjektyviu požiūriu, vertė egzistuoja vertintojo sąmonėje, objektyviu – finansinės analizės informacijos vertę lemia jos naudingumas, naudojimo galimybės ir laikas tokiai vertei sukurti ir daugelis kitų savybių.
2. Finansinės analizės informacija yra perduodama jos vartotojams, kuriems ji yra pateikiama kaip dedukcinių apibendrinimų duomenys. Ne visi jos vartotojai vienodai reaguoja į pateikiamos informacijos kiekį, kokybę ir struktūrą. Ne visi vartotojai vienodai supranta tą pačią informaciją, ne visi ją vienodai apibendrina, analizuoja ir naudoja. Svarbu, ar laiku ir geros kokybės informacija pateikiama vartotojams, t. y. itin svarbios dvi finansinės analizės informacijos vertės komponentės: 1) finansinės analizės informacijos perdavimas ir 2) finansinės analizės informacijos vertės parametrai.
3. Finansinės analizės informacijos perdavimo komponentė ir finansinės analizės informacijos vertės parametrų komponentė susijusios, o finansinės analizės informacijos vertė yra šių komponenčių suma, t. y., išskiriamu atveju, finansinės analizės informacijos vertės komponenčių ir jų ryšio nustatymo metodikos teorinis modelis yra adityvios priklausomybės tipo.
4. Finansinės analizės informacijos vertės jos perdavimo aspektu turime tam tikras informacijos perdavimo išlaidas, kurias apibendrina šie kintamieji: perdavimo technologija; technologijos įsigijimo – eksploatavimo išlaidos; darbo išlaidos. Įmonei svarbesnis ne perdavimo aspektas, o kitas – finansinės analizės informacijos vertės parametrai. Parametrų agreguotomis grupėmis yra informacijos gavimo laikas, kokybė, kiekybė ir sauga. Tiek finansinės analizės informacijos vertę jos perdavimo aspektu, tiek finansinės analizės informacijos vertę jos parametrų aspektu galime išreikšti funkcijomis ir panaudojus suformuotas regresijos lygtis su pasirinktu patikimumu galima atlikti prognostinius skaičiavimus, atsižvelgti į išskirtų kintamųjų grupių bei jų pogrupių pokyčius.
5. Rekomenduotas finansinės analizės informacijos vertės parametrų vaidmens jos vertei pasireiškimo apibendrinimo kelias atsižvelgia tiek į kiekvieno informacijos vertės parametro bruožus, tiek ir į jų pasireiškimo formas. Jis palankus finansinės analizės informacijos gavimo ciklo korekcijų ir šių žingsnių derinimui su analizės informacijos kiekio bei jos kokybės naudingo santykio siekiais.
Bagdžiūnienė, V., 2013. Finansinių ataskaitų analizė: esmė ir verslo situacijos. Vilnius: Conto litera.
Brag, S. 2013. Financial Analysis. A Business Decision Guide. John Willey and Sons Ltd.
Burda, M., Wyplosz, Ch., 2005. Macroeconomics: a European Text. Oxford university press.
Buškevičiūtė, E.; Mačerinskienė, I., 2007. Finansų analizė. Kaunas: Technologija.
Čekanavičius, V.; Murauskas, G., 2000. Statistika ir jos taikymai. I dalis. Vilnius: TEV.
Čiegis, R., 2012. Makroekonomika. Vilnius: Vilniaus universiteto leidykla.
Davulis, G., 2009. Ekonomikos teorija. Vilnius: Mykolo Romerio universiteto Leidybos centras, 2009.
Gibson, Ch.H., 2011. Financial Reporting and Analysis: Using Financial Accounting Information. Mason: South-Western Cengage Learning.
Girdzijauskas S., 2005. Finansinė analizė: kiekybiniai metodai. Vilnius: Vilniaus universiteto leidykla
Juozaitienė, L., 2008. Įmonės finansai: analizė ir valdymas. Šiauliai: Šiaulių universiteto leidykla.
Lazauskas, J., 2005. Įmonių ūkinės ir komercinės veiklos ekonominė analizė. Vilnius: Technika.
Levine, D.; Stephan, D.; Krehbiel, T.; Berenson, M., 2010. Statistics for Managers Using Microsoft. Pearson Education.
Lietuvos Respublikos Buhalterinės apskaitos įstatymas, 2001 m. lapkričio 6 d. Nr. IX-574. (Straipsnių pakeitimai ir papildymai 2008 m. liepos 3 d., Nr. X-1679).
Mackevičius, J., 2009. Finansinių ataskaitų auditas ir analizė: procedūros, metodikos ir vertinimas. Vilnius: TEV.
Mackevičius, J.; Giriūnas, L. Valkauskas, R., 2014. Finansinė analizė. Vilnius: Vilniaus universiteto leidykla.
Mackevičius, J.; Valkauskas, R., 2016. Finansinės analizės informacijos patikimumo nustatymo metodika. Informacijos mokslai. 76, 82-95. https://doi.org/10.15388/im.2016.76.10383.
Martišius, S.; Kėdaitis, V., 2010. Statistika. 1 dalis. Statistinės analizės teorija ir metodai. Vilnius: Vilniaus universiteto leidykla.
Paunksnienė, J.; Liučvaitienė, A., 2009. Mikroekonomika. Vilnius: Technika. https://doi.org/10.3846/1058-s
Schlittgen, R., 2012. Einführung in die Statistik. Analyse und Modellierung von Daten. München: Oldenbourg. https://doi.org/10.1524/9783486715910
Snieška, V. ir kt., 2006. Makroekonomika. 2006. Kaunas: Technologija.
Stonner, J.; Freeman, R.; Gilbert., D., 1999. Vadyba. Kaunas: Poligrafija ir informatika.
Tamulevičienė, D., 2016. Methodology of complex analysis of companies’ profitability. Entrepreneurship and sustainability issues. 4(1), 53-63. https://doi.org/10.9770/jesi.2016.4.1(5).
Tarptautiniai finansinės atskaitomybės standartai (TFAS), 2007. Vilnius: VŠĮ Lietuvos Respublikos apskaitos institutas.
Wonnacott, P.; Wonnacott, R., 1993. Makroekonomika. Kaunas: Litterae universitatis.
Zelgalve, E.; Zacharchenko, A., 2012. Transformation of the role of financial analysis in enterprise management. Organizacijų vadyba: sisteminiai tyrimai. 64, 147-167. https://doi.org/10.7220/mosr.1392.1142.2012.64.10.
Ковалёв, В.В., 2006. Финансовый анализ: методы и процедуры. Москва: Финансы и статистика.
Jonas Mackevičius – VU EVAF profesorius emeritas, daugelio vadovėlių ir mokslinių publikacijų autorius, tyrinėjantis audito, analizės ir apskaitos problemas.
Romualdas Valkauskas – VU EVAF docentas, tyrinėjantis statistikos ir informacijos vertės mokslines problemas.
Daiva Raziūnienė – VU EVAF jaunesnioji asistentė, tyrinėjanti audito įrodymų, profesinio skepticizmo, audito rizikos ir reikšmingumo temas bei duomenų vertės klausimus.